目前,車輛、航天等傳動機構的使用要求逐漸提高,傳統的齒輪加工與測量方式已不能滿足現代加工要求。為保證其齒輪使用的可靠性,需檢測齒輪各項誤差。目前常見的齒輪檢測方式分為接觸式 測量和非接觸式測量。前者依靠測頭與工件表面接觸,通過計算測頭與工件表面的相對位置來獲取工件表面多個點的空間位置。這種測量方式有測量范圍受測頭體積限制等弊端。非接觸式測量借助機器視覺技術和傳感器技術,成為近幾年齒輪測量的重要方法。機器視覺測量方法是提取被測零件圖像信息進行處理分析的一種測量方法,涉及圖像的獲取、處理和分析。Sandak等提出的外觀缺陷檢測法可對齒輪的崩角、碰傷和劃傷進行識別。楊云濤等利用邊緣檢測算子提取齒輪有效像素,形成輪廓。雖然視覺測量方法可以獲得齒輪的多項偏差并且通過改進算法可以提高精度,但其測量方法的可靠性不高,工業相機的發展限制測量精度,測量過程依賴圖像識別的準確度,由于受相機功能性發展限制和高性能相機的價格區間的限制,不能實現工業大規模的應用。
近年來,激光位移傳感器在齒輪幾何精度、傳動平穩性檢測等方面被廣泛應用,其具備精度高和測量迅速的優點。激光通過齒輪中心測量時激光束與部分齒面法向夾角較大,形成不規則橢圓光斑,對于被測量目標為復雜空間曲線,其曲率不斷變化,易導致測量精度波動,影響了檢測精度,同時測量的準確度也受光斑形狀、大小影響。被測面接近于平面時,激光束打在被測物體表面的光斑呈現出均勻的圓形,主要表現在齒根、齒頂的測量中,此時齒廓法向量與激光束的夾角偏小接近0°,相當于激光束垂直打在被測面上,此時激光束的測量精度不受影響;而被測面曲率不斷變化且存在較大高度差時,激光束打在被測物體表面的光斑為不均勻的近似橢圓形,此時齒廓法向量與激光束的夾角偏大接近90°,相當于激光束切入被測表面,此時測量系統中非線性誤差增加,測量誤差較大。何凱等優化了激光位移傳感器的安裝角度和安裝位置,對精度有一定提升,但存在測量過程中前齒遮擋激光的范圍較大、測量結果實際可用段較少的問題。因此,需要研究出一種高效、高精度的齒輪激光測量方式,從而改善激光測量在齒輪測量中的缺陷。本文提出一種基于激光位移傳感器激光偏置的齒輪測量方法。激光束相對齒輪軸線偏置一段距離,使激光束與齒面測點法矢量夾角減小,大大提升了測量的精度和效率。同時對測量數據進行坐標轉換和數據處理,得到齒輪的各項偏差及綜合偏差。
一、齒輪激光精密測量設計原理
齒輪激光精密測量原理
齒輪激光測量所使用的激光位移傳感器原理上為三角測量法,如圖1所示,激光源發出的激光打到被測物體表面的 H1點,H0為參考平面上的一點,兩點在 CCD上成像分別為 M1和 M0。分別做 H1、M1 到直線 H0M0的垂線,得到B、D。三角形 M1DO 相 似于三角形 H1BO,根據三角形相似法則,可求出 BH1的距離,繼而求出y的距離。

當測量位置由激光束通過齒輪的中心軸轉變成激光束偏離齒輪的中心軸時,被測點的實際位置與各個部分傳感器讀數所參考的已不是同一參考系。在進行過中心齒輪測量時,激光束擊中齒面的受測點,激光位移傳感器和控制器讀出當前點至該激光位移傳感器之間的位移量,通過組合編碼盤反饋當前測量點的角度信息與零點編碼盤讀數的差值,就能夠反映出被測點的真實位置。但在進行偏置測量時,兩者對應的參考系并不是唯一的。因此,需要轉換坐標來獲取當前被測點的實際位置。
齒輪的激光精密測量原理如圖2所示。當激光位移傳感器相對于齒輪中心的偏置量為一定值a,激光位移傳感器到齒面被測點的距離為d測,激光位移傳感器到x 軸的距離為l,被測點到x 軸的距離為d=l-d測。取任意兩點qm 和qn,其測量值是 qm(d測m,θm)、qn(d測n,θn)。以qm為基準,qm與x 軸的夾角是arccos(a/rm),從qm到qn齒輪轉過的角度為θn-θm,qn與y軸的夾角是arcsin(a/rn),所以 qm和qn的相對齒輪坐標系夾角:
將測量結果轉化成極坐標方程:

偏置量選擇原理
為找到合適的偏置位置,需對齒面和激光位移傳感器空間位置進行數學建模。如圖3所示,Ob是基圓圓心,H 為被測點,l1為圓心與點 H 的連線,l2 是漸開線的法線,基圓半徑為rb,設 H 點坐標(xH ,yH),漸開線轉過一定角度后基圓圓心是 Ob(-x0,-y0),αH是點 H 處壓力角,k 為l2的斜率,則齒廓法向量所在直線l2可表示為:

偏置測量時,激光束沿x軸偏置一段距離為a,其齒廓法線與x 軸夾角為φ。可見,當k值越大,φ 值越大,齒廓法線與激光束夾角越小,測量值越穩定;相反,當夾角過大時,在測量過程中該夾角會在齒面漸開線處存在一個峰值,使得激光束接近于平行切入齒廓漸開線某處,加上測量激光束光斑形狀不規則,導致測量數據失效,增加其數據波動性。因此,偏置量應選擇一個合理的區間。偏置量的選擇要考慮多種因素。首先,需要考慮其最大影響因素:激光束與齒廓法向量夾角,這直接反映了測量數據有效性;其次,也需保證齒廓數據的準確性;最后,應減少整體測量存在的波動性。通過這3個方面來考量偏置量的最佳位置。
考量激光束與齒廓法線夾角時,黃瀟蘋提出了一種物面傾角誤差,通過實驗測量得出,當傾斜角度在5°以內時,測量誤差可以控制在0.12mm,傾斜角在30°時最大測量位移誤差值已達0.5mm。可根據上述齒廓法線斜率k來判斷夾角大小。當 k值較小時,激光位移傳感器處于一種穩定狀態。當k值增大時,激光位移傳感器的誤差值也逐漸增大。所以,需保持一個穩定的區間。當激光束與齒廓法線的夾角小于30°,k的絕對值應大于
。
考慮齒廓數據有效性,假設齒輪齒數是z,模數是 m,齒頂圓半徑ra,齒根圓半徑rf,分度圓半徑r,分度圓齒厚s,壓力角α,令α測為測量數據點在齒廓有效部分所占的齒輪中心角,α總為單側齒線所占齒輪中心角,齒頂所占齒輪中心角是:

考慮整體數據有效性時,其為測量過程合理性的量,需引入整體數據有效性來進行判斷。D 為測量結果數據中的有效數據個數,D總為測量結果全部數據點,則數據有效為:

二、齒輪激光精密測量偏差分析
齒距偏差分析
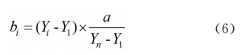
在齒距偏差分析之前,需要處理其測量數據。因為通過直接測量獲取的數據并不是被測點相對于齒輪中心的實際空間位置,所以需要預處理數據,獲取正對測量數據,將偏置坐標轉換成以被測齒輪為中心的坐標系。經過處理的數據分析方法和正常測量的數據偏差分析方法是相同的。首先就是對其齒輪展開角進行計算,其任意數據點在其坐標系的展開角bi是:

式中:Yi是其任意點脈沖數;Y1為第一點所對應的脈沖數;Yn為其最后一個點對應的脈沖數。
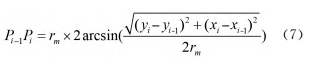
通過擬合的齒廓與分度圓間交點來找到測量數據,將數據點極坐標數據展開,使用二分法計算,在其分度圓處收斂,可找到樣條曲線擬合的齒廓和分度圓之間的任意兩個相鄰的交點 Pi-1和 Pi。則齒距可表述為:

式中:rm為分度圓半徑;(xi,yi)(xi-1,yi-1)為迭代后插值點的坐標數據。
螺旋線誤差分析
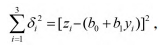
圖4是螺旋線誤差分析原理圖。需要多組測量數據來進行螺旋線誤差分析。圖中3組齒線為不同高度但偏置量相同情況下獲取的3組數據,為找到同一齒下的3組數據,對該齒數據進行擬合,找到其與理論分度圓之間的交點,即可獲得該齒面上分度圓柱面上的3個點,再對3個點進行擬合,推導得出螺旋線誤差。

設所擬合的直線方程為z=b0 +b1y,3個點到該直線的偏差平方和:
利用最小二乘法,偏差平方和對bi求導,得到方程組:

三、齒輪激光精密測量實驗
實驗步驟
齒輪激光精密測量平臺的三維圖如圖5所示,該測量平臺由工件回轉臺、夾緊裝置、下頂尖、中心軸、上頂尖、工件回轉臺升降滑臺、測頭滑臺導軌、偏置滑臺直線電機、Z 軸導軌、測頭滑臺驅動電機、Z 軸驅動電機和激光位移傳感器構成。在中心定位心軸上安裝有中心孔的齒輪,中心定位芯軸通過上下頂尖固定,下面裝有一個回轉盤,當采用夾緊裝置時,中心定位芯軸會隨著旋轉盤的轉動而轉動。由控制卡、激光位移傳感器的控制器與計算機進行連接,通過計算機控制編碼盤的旋轉、三坐標位移裝置的平移運動和傳感器的開關并記錄讀數。

如圖6所示,在芯軸上安裝了被測齒輪,激光測量傳感器相對于齒輪中心偏置一定的距離。進行測量時,齒輪以一定速比勻速旋轉,工件回轉盤上編碼盤記錄此時齒輪上被測點的角度脈沖數據,同時激光位移傳感器采集被測點相對于激光束發生點的位移數據,齒輪的角度位移數據通過測量軟件輸出到文件中。

測量數據轉換
以齒數為30、法面模數為3、螺旋角為20°的斜齒圓柱齒輪任一測量結果曲線為例,進行數據轉換。該測量的偏置量為23,如圖7所示,圖中灰線段為測量數據的可視化結果,黑線段為對灰線進行轉化的可視化結果。橫坐標為測量系統的脈沖數,工件旋轉1周360°為100萬個脈沖量;縱坐標軸為測量數據點到工件旋轉中心的距離,即激光位移傳感器示數向齒輪中心的轉換結果。從圖7中可以看出,轉化前的黑線偏斜,齒廓漸開線處的測量脈沖占比 明顯高于正常占比,經過坐標轉化后偏斜消除,單側齒廓處符合實際齒廓的尺寸形狀。

最佳偏置值選定
以齒數為30、法面模數為3、螺旋角為20°的斜齒圓柱齒輪為例,根據齒輪參數設置了14組不同偏置量對照試驗,分別為17、18、19、20、21、22、23、24、 25、26、27、28、29、30。圖8為不同偏置量得到的測量數據結果圖。圖9為偏置量分別為17、24、30的 3 種情況下的測量圖形。可以看出,偏置量較小,測量過程中齒根有一定占比,漸開線齒廓的有效測量段數據點較少。隨著偏置量的增大,圖形中漸開線齒廓的有效測量段數據點增多,測量圖形在漸開線處變緩,齒根處的數據點減少且在測量圖形中占比變小。當偏置量持續增大,測量過程中前齒對后齒的遮擋增加,齒根處被逐漸遮擋,直到測量數據直接從漸開線齒廓開始,經過齒頂圓后直接繼續測量到漸開線齒廓部分。

在試驗選取的偏置量中,齒側齒廓的測量只有最后一組有前齒遮擋現象。通過有效數據點個數來判定齒廓數據的有效性。在測量數據中,齒側齒廓部分以數據從齒根圓半徑測量的平均數+10%齒全高開始計數,到齒頂圓半徑測量的平均數-10%齒全高結束,得出以下數據。如表1所示,偏置值選擇和齒廓有效數點個數正相關,在合理的偏置值范圍內,偏置值選取得越大,齒廓有效數據點的個數越多,偏置值選取得越小,齒廓有效數據點的個數越少。但在偏置值大于29時也存在一定問題,即激光束越過齒頂,從齒根處開始后齒的測量時,高度偏差較大,數據波動增加,此時該測量點與齒側距離較短,易影響后齒的測量,使后齒有效測量范圍縮短。

結合圖1和表1,偏置值在23~29之間測量,各組測量數據中有效數據點個數較多,數據波動較小,激光束打在齒廓上的光斑形狀聚集。其中偏置值為29時,激光束與齒廓法線夾角最小,在前齒不遮擋的條件下有效數據點最多,符合理論選定的最佳偏置值。
齒輪激光精密測量偏差分析試驗
對偏置量為23的測量數據進行齒距偏差分析和螺旋角偏差分析。
進行齒距偏差分析時,對測量數據進行坐標轉換,通過樣條曲線連接數據點,用二分法迭代找出分度圓與樣條曲線的交點,相鄰交點間的距離是單齒距;單齒距與公稱齒距之差為偏差。任意多個齒距的累積為累積偏差。表2為部分單個齒距偏差與齒距累積偏差,圖 10 給出了該被測齒輪的全部 20個單個齒距偏差,圖11給出了該齒輪累積偏差圖形。根據30組實驗得出該齒輪的最大齒距偏差為0.02155mm,最小齒距偏差為0.00269mm,最大齒距累計總偏差為0.02977mm。

已知該齒輪螺旋角為20.5739°,通過對3組齒輪不同截面上測量的數據進行轉換后,計算出樣曲線與分度圓的交點。同一齒上3個點擬合直線方程,通過最小二乘法確定直線方程的斜率k值,最后計算出螺旋角。表3列出部分齒的螺旋角計算值。
以上的試驗結果證明,偏置式測量方法適用于齒輪精密測量,對齒輪的齒距和螺旋線偏差都有較好的效果。
四、結論
基于偏置式測量原理,研究一種齒輪激光偏置測量方法,通過將激光束移動一個偏置量,解決了對中式的齒輪激光測量所帶來的失效問題。通過建立偏置量的選擇模型,明確偏置位置,建立數據轉換方程,完成測量試驗與數據分析。本文研究的測量方法有以下特點:
(1)采用激光位移傳感器的齒輪激光偏置測量方法,不僅具有激光測量方法的優點,而且克服了常規激光測量的一些缺點。這種測量方法無須規劃測頭的運動軌跡,也不需要復雜的算法來補償測頭半徑,不會產生磨耗問題,使用靈活,不受限于測頭尺寸,測量效率高。解決了激光測量在齒側齒廓上激光束與漸開線相切的數據失效問題,從而獲取更多齒側齒廓的有效數據點。
(2)通過數據處理的方法和誤差分析方法解決了激光測頭測量坐標系和工件坐標不一致的問題,簡化數據分析過程,提高測量效率。
