在常見的機械傳動機構中,齒輪傳動是應用最廣泛的傳動機構之一。其中,圓柱直齒輪因其使用圓周速度和功率范圍廣、壽命較長、傳動比精確穩定、效率高等優點在現代各種機械設備中得到了廣泛的應用。
在實際使用時要求齒輪機構有較高的加工精度和裝配精度,在有限元分析、運動仿真等對結構和模型精度要求較高的使用場景下,也需要建立的齒輪模型具有較高的精度,因此,精準地建立漸開線圓柱直齒輪模型至關重要。此外,在模型設計時盡量減少使用軟件的種類,能提高工程師的工作效率。
現階段有諸多學者提出使用SolidWorks建立圓柱直尺輪模型的方法,但也存在一些缺點,例如文獻介紹了SolidWorks中自帶的Toolbox插件、用圓弧或樣條曲線代替漸開線的方法,用這兩種方法繪制出的齒廓并非標準的漸開線,繪制的齒輪精度較低,不利于后期對齒輪進行力學和仿真分析;文獻還通過方程式驅動的方式繪制漸開線,能生成精度較高的齒輪模型,但所生成的齒輪模型沒有關于x 軸或y軸對稱,造成裝配時的定位不便。文獻介紹了使用邁迪、GearTrax插件、CAXA電子圖板繪制齒輪的方法,這些方法借助了外部的插件或軟件,雖然能夠保證建立的齒輪的齒廓為標準的漸開線齒廓,但當設計過程中齒輪尺寸發生變化時則需要使用插件重新繪制齒輪,無法直接通過SolidWorks修改齒輪參數直接重建模型,造成設計時的不便。因此,需要對齒輪建模方法進行優化。
本文針對以上問題,分析漸開線方程和坐標變換,利用SolidWorks中的方程式驅動的曲線和方程式功能,根據齒輪形成的原理,對漸開線圓柱直齒輪的建模方法進行了優化。
一、漸開線方程
基本漸開線方程
正確地繪制出漸開線是圓柱齒輪精確建模的基礎和關鍵,為了保證齒廓的精確性,本文采用漸開線的參數方程來精確繪制齒輪的漸開線齒廓。
一動直線在一個固定的圓周上做純滾動時,該直線上的任意一點所形成的軌跡被稱為漸開線,其軌跡如圖1所示,根據漸開線的形成原理可寫出其參數方程:

式中:Db為基圓直徑,θ為展角。

漸開線方程的優化
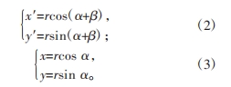
由式(1)所生成的直齒輪的部分齒廓如圖2 所示,不難發現,按照式(1)生成的齒輪并不關于x軸對稱,此時,齒輪的對稱線與x軸線存在偏角,該偏角會在齒輪裝配時造成不便。因此,需要對漸開線參數方程進行優化,為了使齒輪能夠關于基準面對稱,需要使漸開線繞坐標原點旋轉β角,從而使齒輪的模型能夠關于x軸對稱。其中,β為齒輪齒廓的對稱線與x軸的夾角。

在笛卡爾直角坐標系上的曲線繞原點旋轉主要有兩種方式:一種方式是曲線繞原點旋轉,坐標系保持不動;另一種方式是坐標系繞原點旋轉,通過旋轉坐標軸,使曲線相對坐標軸的位置發生旋轉。在SolidWorks中,方程式驅動的曲線是在全局默認的坐標系中生成的,其默認的坐標系無法更改,所以無法通過旋轉坐標系來完成旋轉曲線。因此,本文采用坐標旋轉實現漸開線繞坐標原點旋轉β,原理如下。
如圖3所示,坐標(x,y)繞坐標原點O逆時針旋轉α后得到新坐標(x′,y′),存在如下關系:


合并兩式化簡得:

如圖4所示,計算旋轉角度β。

由漸開線的性質得
其中,α為壓力角。
在直角ΔAOK中有
合并上述兩式得
γ為兩相鄰的齒夾角的一半
因此可求得旋轉角
在SolidWorks中,三角函數內的輸入的數值需要用弧度表示:
最終優化后的漸開線的極坐標參數方程可表示為:

二、圓柱直齒輪參數化建模
基本參數
圓柱直齒輪的標準參數如下:模數m;壓力角α;齒數 Z;頂隙系數c* ;齒高系數h*a。
圓柱直齒輪的基本尺寸計算:分度圓直徑d=mz;基圓直徑 db=dcos α;齒頂圓直徑da=d+2ha=d+2h*am;齒根圓直徑df =d-2hf =d-2m(h*a+c*)。
創建全局變量
在SolidWorks工作界面的左側設計樹區域右鍵 “方程式”,選擇“管理方程式”選項,打開方程式界面,在全局變量區域輸入模數m、齒數z、壓力角α、分度圓直徑D、基圓直徑Db、頂隙系數c* 、齒頂高系數 ha* 、齒根圓直徑Df、齒根圓直徑Da、齒寬B。并輸入相應的數值與計算公式,如圖5所示。

本部分以m=2、z =50和30、α=20°、h*a =1.0、c* = 0.25、B=20的標準齒輪為例。
繪制圓和漸開線草圖
繪制齒頂圓、分度圓、齒根圓、基圓草圖。在草圖繪制界面以原點為圓心由大到小分別繪制齒頂圓、分度圓、齒根圓、基圓4個圓的草圖,并運用“智能尺寸”標注尺寸,在尺寸輸入界面輸入“=”,在彈出的選項中選擇“全局變量”,根據4個圓由大到小分別選擇 “Da”“D”“Df”“Db”,完成對齒頂圓、分度圓、齒根圓、基圓的尺寸與方程式全局變量的關聯。
構造漸開線。在“方程式”-“全局變量”中添加新變量“β”,為旋轉角,其值為“=("α"+90/"z"-tan("α")*180/PI)*PI/180”。在草圖繪制菜單中選擇“方程式驅動的曲線”,選擇“參數性”輸入參數方程。在方程式“xt ”處輸入("Db"*(t*sin(t)+cos(t))/2)*cos("β")-("Db"*(sin(t)-t*cos(t))/2)*sin("β");在“yt”處輸入("Db"*(t*sin(t)+cos(t))/2)*sin("β")+("Db"*(sin(t)-t*cos(t))/2)*cos("β")。在參數“t1”處輸入0,“t2”處輸入“pi”,該參數的作用為控制漸開線的展角范圍。至此,完成漸開線的創建。
最后,為生成的漸開線添加固定約束,使其為完全定義。
創建齒輪實體模型
生成齒坯模型。使用“特征”-“拉伸凸臺”命令,以齒頂圓為輪廓拉伸輪廓,在拉伸長度中選擇全局變量“B”。實現齒輪厚度的參數化關聯。
切除單個齒槽。以齒坯的一面為草圖基準面繪制草圖,選中齒根圓、齒頂圓和漸開線草圖,執行“轉換為實體引用”命令,用直線將齒根圓和齒頂圓與X 軸線的交點相連接。裁剪齒根圓和齒頂圓,形成封閉的一半的齒槽輪廓。選中該輪廓,使用“特征”-“拉伸切除”命令,切除尺寸選擇全局變量“B”。最后,使用 “特征”-“鏡像”命令,鏡像基準面選擇“上視基準面”,鏡像切除的特征,完成單個齒槽的切除。然后使用“特征”-“圓角”,選中齒根部分,圓角半徑的參數值為=“m”*0.38,完成單個齒廓的創建。
陣列完成齒廓的建模。使用“圓周陣列”,陣列切除成形的齒廓,陣列數量選擇全局變量“Z”,完成齒數的方程式關聯。
采用上述步驟完成齒數大于41齒時的圓柱直齒輪的造型,通過修改全局變量中的模數和齒數等參數,即可生成不同的齒輪,無需重新建立新的模型文件。
三、參數壓縮實現建模
當基圓大于齒根圓時,即Df≤Db時,代入數值計算得齒數Z≤41.25,即當齒數≤41齒時,漸開線的起點位于齒根圓以外,如果按照上述方法直接修改參數,會導致模型重建失敗。若重建一個模型文件,則無法實現對任意齒數齒輪的建模。此時,則需要使用條件控制特征的壓縮,達到用一個模型完成任意齒數的圓柱直齒輪建模的目的。
IF函數控制壓縮
在SolidWorks中,可以運用Visual Basic If函數有條件地控制模型變量,基本用法如下:
變量=IF(表達式,滿足條件返回的結果,不滿足條件返回的結果)。
例如,Y=IF(X>10,1,2)表示為當X>10時,Y=1;當 X≤10時,Y=2。
在“方程式”-“特征”區域,可以選擇對應的特征。在“數值/方程式”處輸入="suppressed",則表示該特征被壓縮;在“數值/方程式”處輸入="unsuppressed",則表示該特性被取消壓縮。運用該功能,可以很好地解決齒數小于42時重建模型發生錯誤的問題。
基于上述結論,可寫出以下表達式:

該式表示齒數大于41時指定特征被壓縮;反之,則指定特征被解除壓縮。
創建最終齒輪模型
壓縮原模型。打開“方程式”,在“特征”-“名稱” 中3行分別選擇設計樹中“切除”“鏡像”“陣列”“圓”3個特征,在“數值/方程式”輸入=IF("Z"<= 41,"suppressed","unsuppressed"),并將全局變量中齒數“Z”修改為30,完成原模型的壓縮。
按照本文2.4節中的操作方法,將漸開線、齒頂圓和齒根圓引用后裁剪,得到未封閉的圖形,繪制一條直線連接漸開線起點和齒根圓,然后添加幾何約束令直線與漸開線相切,得到封閉圖形。再通過切除、鏡像、圓角、陣列一系列操作,完成齒數小于41齒的齒輪建模。
將新生成的4個特征添加到“方程式”-“特征” 中,數值處填入“=IF("Z" >41,"suppressed","unsuppressed")”,可以實現在齒數大于41時壓縮,齒數不大于41時解除壓縮。至此,優化后的圓柱直齒輪造型完成,通過修改全局變量中齒輪的參數,便可以直接完成特征的重建。

四、結論
可以將該模型文件保存為樣板文件,當在設計時需要使用到圓柱直齒輪時,只需調用該模型文件,修改全局變量中的模數、齒數等標準參數后,可以直接生成所需要的齒輪模型。該模型運用了漸開線的參數方程,保證了齒輪的精度;且生成的齒輪關于上視基準面對稱,便于后續進行裝配和有限元分析;還實現了用一個模型滿足所有齒數的齒輪生成,避免修改齒數時報錯,在一定程度上減少了重復操作,提高了效率,同時也為變位齒輪等具有多參數的零部件的參數化建模提供了一定的思路。
參考文獻略.
