工業機器人,是自動控制的、可重復編程、多用途的操作機,可對三個或三個以上軸進行編程。它可以是固定式或移動式,在工業自動化中使用。隨著我國工業轉型升級、勞動力成本不斷攀升及機器人生產成本下降,工業機器人在制造業中的普及程度不斷上升。2023 年中國工業機器人市場銷量達28.2萬臺;在役工業機器人存量達到428.2萬臺(截至2023年年末),占全球總量的41%。精密減速器通常是指能夠提供高精度、高剛度、高效率和大傳動比的減速器。RV減速器和諧波減速器是在工業機器人關節中最常用的兩類精密減速器。其中,RV減速器是在擺線針輪減速器行星傳動的基礎上發展起來的一種精密傳動型式,具有傳動比范圍大、傳動誤差小、 承載能力大、扭轉剛性大、振動小及耐沖擊性強等諸多優點,越來越多地在主流工業機器人精密減速器中得到應用。近年來,隨著中國工業機器人應用規模的不斷擴大,對于配套潤滑劑的需求日益增長。國內也開展了工業機器人減速器專用油的開發。 由于工業機器人減速器和整機OEM不開放油品認證,不公開油品規格和要求,一度沒有公開的國際、國內標準可以作為油品評價的依據,對國產工業機器人減速器潤滑產品進入市場造成了很大困難。2022年5月,由中國石化潤滑油公司牽頭制定的石化行業標準NB/SH/T6040《機器人用擺線針輪(RV)減速器潤滑油》開始實施,成為全球范圍內首個公開的相關標準,在工業機器人減速器和整機OEM(原始設備制造商)及用戶中受到廣泛關注,并得到認可。NB/SH/T6040標準中給出了壽命臺架等關鍵性能評價方法,為國內機器人油品市場的規范生產和使用提供了科學、可靠的技術依據。為了考察所開發的Sinopec RO150機器人減速器專用油(以下簡稱 Sinopec RO150)與減速器、機器人整機OEM指定潤滑油的性能差異,本文參考NB/SH/T6040,對自主開發的機器人減速器專用油Sinopec RO150和2款整機OEM指定用油進行了精密減速機壽命臺架試驗與油品理化性能評價。
工業機器人減速器的工況特點及對潤滑劑的性能要求
工業機器人的工況特點包括:
◇在室內外、南北方均有使用,使用溫度范圍廣;
◇連續工作時間長,甚至是24h滿負荷連續運轉,關節減速機部位連續工作不斷產生熱量,正常使用時運行溫度約50~70 ℃,極端條件下可達到100℃;
◇關節部位通常承受中、重負荷,負荷范圍200~5000N;
◇執行重復動作,對定位精度和重復定位精度要求高;
◇運動形式多為往復運動,加速度大,頻繁啟動和轉向,易產生微動磨損;
◇工作狀態下不同關節減速機保持方位不同且隨時變化,要求減速機密封材料的密封性能優異,確保油品不發生泄漏;
◇維護周期很長,要求潤滑產品有很長的使用壽命。RV減速器的潤滑方式與嚙合齒輪潤滑不完全相同,需要考慮滑動摩擦、滾動摩擦等多種摩擦形式存在條件下的潤滑,同時要考慮產品的特殊工況以及對穩定性和精度的要求。根據工業機器人的工況條件和減速器的潤滑特點,潤滑劑需要滿足以下性能要求:
◇溫度適應性廣,可在室內外、南北方通用,滿足-20~120℃甚至更寬的使用溫度范圍的使用要求;
◇熱穩定性能優良,保證在70℃甚至100℃能夠正常工作;
◇極壓抗磨性能好,能滿足重負荷工況要求;
◇抗微動磨損性能好,摩擦性能良好,可減少設備摩擦部位磨損;
◇與密封材料的兼容性能良好,確保設備油品不發生泄漏;
◇抗氧化性能好,經長期使用后,無明顯氧化現象;
◇使用壽命長,具有10000h以上的換油周期。
試驗部分
試驗用油:
試驗用油選擇自主開發的機器人減速器專用油Sinopec RO150、兩款整機OEM指定用油A、B。油品典型理化數據見表1。從表1可以看出,Sinopec RO150、指定用油A和指定用油B的各項指標都滿足質量指標要求。Sinopec RO150的理化性能與指定用油A和指定用油B相當,運動黏度、黏度指數、傾點、閃點等關鍵參數均在合格范圍內,顯示出良好的低溫流動性和高溫穩定性,在抗泡性、液相銹蝕、氧化安定性等指標上也表現出良好的性能。

表1 試驗油品理化數據對比
臺架試驗:
表1中所列的測試項目中,臺架試驗(E110減速器)是針對機器人關節減速器的特征性臺架,能良好地反映油品的性能差異。
試驗設備
采用GB/T35089—2018《 機器人用精密齒輪傳動裝置試驗方法》中規定的機器人用精密齒輪傳動裝置臺架,根據減速器的結構和運行特點設定試驗條件。該臺架試驗方法是減速器行業用于測評價機器人減速器的綜合性能的臺架方法。本研究引用該方法,固定減速器型號(作為標準測試件),測試潤滑油長周期運行對于減速器參數的影響,用以評價油品對設備的潤滑和保護的綜合性能。精密減速機壽命試驗臺架為擺臂式負載試驗平臺,其結構如圖1所示。試驗平臺可以模擬工業機器人精密減速器在實際使用時的周期性負載,并通過調節配重塊數量改變負載值。通過內置的轉矩轉速傳感器測量減速器輸入端的轉矩值,監測潤滑油在減速器全壽命周期內性能變化對扭矩值的影響,評估潤滑油在減速器使用過程中的狀態變化。同時采用接觸式溫度傳感器對減速器內的潤滑油進行溫度測量,監測運行過程中的溫度變化。

圖1 精密減速機壽命臺架試驗示意
減速器的選擇
依據GB/T37718—2019《機器人用精密行星擺線減速器》,采用具有代表性的中型擺線針輪減速器RV-110E-161作為固定標準件。
試驗周期
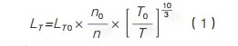
GB/T37718—2019規定減速器的額定壽命不低于6000h。這是絕大多數減速器的額定壽命,也是整機OEM要求的減速器工作時間,因此油品測試周期應滿足減速器6000h壽命要求。同時該標準中規定了對應6000h壽命的臺架試驗時間——減速器當量壽命的計算方法,可據此結合臺架實際參數計算出試驗時間。其當量壽命(即試驗時間)按照下述公式計算:
式中:
按照RV-110E-161的參數及上述公式,計算出試驗周期為300h。
測試過程
測試過程如下:
◇測試減速器的壽命之前首先按GB/T35089—2018測試減速器的基礎數據,包括傳動誤差、扭轉剛度和傳動效率,保證被測減速器的性能符合測試要求。基礎參數的測試設備如圖2所示。

圖2 減速器基礎數據測試臺架
◇將被測減速器安裝到壽命測試臺上,按GB/T30589—2018進行跑合。
◇待減速器溫度穩定時,將負載增加至2.5倍減速器的額定轉矩,轉速增加至額定轉矩,實時監測被測減速器的運行狀況。
◇當減速器的運轉時間達到計算出的當量壽命,或減速器溫度超過60℃時,將減速器停機檢查。
◇試驗結束后,再次按GB/T35089—2018測試RV減速器的基礎參數——傳動誤差、扭轉剛度和傳動效率。
結果與討論
精密減速器壽命臺架試驗結果:
Sinopec RO150、指定用油A、指定用油B在3臺RV-110E-161型號減速器上開展測試的結果如圖3~ 圖5所示。

圖3 SinoPec RO150臺架試驗結果

圖4 指定用油A臺架試驗結果

圖5 指定用油B臺架試驗結果
根據壽命臺架試驗前后減速器的傳動誤差、傳動效率和扭轉剛度的數值計算出的3臺減速器試驗前后的參數變化見表2及圖6。從表2、圖6可以看出,完成壽命試驗后,裝填3種不同潤滑油的減速器的基礎參數都發生了變化。3種油品的基礎參數變化趨勢相同——傳動誤差增大,傳動效率提高,扭轉剛度下降,但變化程度有差異:
◇ 傳動誤差的增大:Sinopec RO150<指定用油B<指定用油A;
◇ 傳動效率的提高:Sinopec RO150>指定用油A> 指定用油B;
◇ 扭轉剛度的下降:Sinopec RO150<指定用油B<指定用油A。在固定設備、操作條件的前提下,潤滑油的不同可以認為是引起傳動誤差、傳動效率和扭轉剛度變化的唯一因素。RV減速器傳動誤差、扭轉剛度的變化與軸承剛度、齒輪嚙合剛度、構件彈性、材料疲勞、潤滑條件等多種因素有關,傳動誤差的增加和扭轉剛度的下降表明,減速器在經歷過相當于全壽命周期的運行后,軸承、齒面結構件、材料等都發生了一定程度的磨損和破壞,裝填Sinopec RO150的設備傳動誤差增大最小、扭轉剛度下降最少,表明該設備的磨損最輕微,相應所裝填的潤滑油對設備的保護性最好,性能優于另外兩種潤滑油。理論上,傳動效率應與扭轉剛度的變化趨勢相同,且隨著設備運行時間的增加,兩者都應該呈現下降的趨勢。但臺架試驗數據表明,裝填了3種潤滑油的減速器的傳動效率都不降反升,這是由于試驗中采用了全新減速器,在臺架試驗前測量傳動效率,設備還處在磨合階段,而試驗后再次測量傳動效率,設備已經完成了磨合,故此傳動效率上升。 
表2 壽命臺架試驗前后減速器的參數變化

圖6 油品測試前后減速器的基本參數變化
試驗前后油品的理化性能:
試驗前后油品的理化性能見表3。由表3可以看出,試驗后Sinopec RO150和指定用油A、B的黏度等級都在150黏度范圍內,雜質元素和磨損金屬元素含量增加量在合理范圍內。

表3 試驗前后油品的理化性能
結論
☆ Sinopec RO150的各項理化性能與國際品牌指定用油相當,甚至在某些關鍵指標上表現更為優異,能夠滿足工業機器人精密減速器的潤滑需求,具備替代進口油品的潛力。
☆ 在壽命臺架測試中,使用Sinopec RO150的減速器在傳動誤差、傳動效率和扭轉剛度等關鍵參數的變化上,相較于指定用油A和B,顯示出更小的性能退化,表明Sinopec RO150具有更好的設備保護性能,能夠為工業機器人的長期穩定運行提供更為可靠的保障。
參考文獻:略
工業機器人減速器的工況特點及對潤滑劑的性能要求
工業機器人的工況特點包括:
◇在室內外、南北方均有使用,使用溫度范圍廣;
◇連續工作時間長,甚至是24h滿負荷連續運轉,關節減速機部位連續工作不斷產生熱量,正常使用時運行溫度約50~70 ℃,極端條件下可達到100℃;
◇關節部位通常承受中、重負荷,負荷范圍200~5000N;
◇執行重復動作,對定位精度和重復定位精度要求高;
◇運動形式多為往復運動,加速度大,頻繁啟動和轉向,易產生微動磨損;
◇工作狀態下不同關節減速機保持方位不同且隨時變化,要求減速機密封材料的密封性能優異,確保油品不發生泄漏;
◇維護周期很長,要求潤滑產品有很長的使用壽命。RV減速器的潤滑方式與嚙合齒輪潤滑不完全相同,需要考慮滑動摩擦、滾動摩擦等多種摩擦形式存在條件下的潤滑,同時要考慮產品的特殊工況以及對穩定性和精度的要求。根據工業機器人的工況條件和減速器的潤滑特點,潤滑劑需要滿足以下性能要求:
◇溫度適應性廣,可在室內外、南北方通用,滿足-20~120℃甚至更寬的使用溫度范圍的使用要求;
◇熱穩定性能優良,保證在70℃甚至100℃能夠正常工作;
◇極壓抗磨性能好,能滿足重負荷工況要求;
◇抗微動磨損性能好,摩擦性能良好,可減少設備摩擦部位磨損;
◇與密封材料的兼容性能良好,確保設備油品不發生泄漏;
◇抗氧化性能好,經長期使用后,無明顯氧化現象;
◇使用壽命長,具有10000h以上的換油周期。
試驗部分
試驗用油:
試驗用油選擇自主開發的機器人減速器專用油Sinopec RO150、兩款整機OEM指定用油A、B。油品典型理化數據見表1。從表1可以看出,Sinopec RO150、指定用油A和指定用油B的各項指標都滿足質量指標要求。Sinopec RO150的理化性能與指定用油A和指定用油B相當,運動黏度、黏度指數、傾點、閃點等關鍵參數均在合格范圍內,顯示出良好的低溫流動性和高溫穩定性,在抗泡性、液相銹蝕、氧化安定性等指標上也表現出良好的性能。

表1 試驗油品理化數據對比
臺架試驗:
表1中所列的測試項目中,臺架試驗(E110減速器)是針對機器人關節減速器的特征性臺架,能良好地反映油品的性能差異。
試驗設備
采用GB/T35089—2018《 機器人用精密齒輪傳動裝置試驗方法》中規定的機器人用精密齒輪傳動裝置臺架,根據減速器的結構和運行特點設定試驗條件。該臺架試驗方法是減速器行業用于測評價機器人減速器的綜合性能的臺架方法。本研究引用該方法,固定減速器型號(作為標準測試件),測試潤滑油長周期運行對于減速器參數的影響,用以評價油品對設備的潤滑和保護的綜合性能。精密減速機壽命試驗臺架為擺臂式負載試驗平臺,其結構如圖1所示。試驗平臺可以模擬工業機器人精密減速器在實際使用時的周期性負載,并通過調節配重塊數量改變負載值。通過內置的轉矩轉速傳感器測量減速器輸入端的轉矩值,監測潤滑油在減速器全壽命周期內性能變化對扭矩值的影響,評估潤滑油在減速器使用過程中的狀態變化。同時采用接觸式溫度傳感器對減速器內的潤滑油進行溫度測量,監測運行過程中的溫度變化。

圖1 精密減速機壽命臺架試驗示意
減速器的選擇
依據GB/T37718—2019《機器人用精密行星擺線減速器》,采用具有代表性的中型擺線針輪減速器RV-110E-161作為固定標準件。
試驗周期
GB/T37718—2019規定減速器的額定壽命不低于6000h。這是絕大多數減速器的額定壽命,也是整機OEM要求的減速器工作時間,因此油品測試周期應滿足減速器6000h壽命要求。同時該標準中規定了對應6000h壽命的臺架試驗時間——減速器當量壽命的計算方法,可據此結合臺架實際參數計算出試驗時間。其當量壽命(即試驗時間)按照下述公式計算:

測試過程
測試過程如下:
◇測試減速器的壽命之前首先按GB/T35089—2018測試減速器的基礎數據,包括傳動誤差、扭轉剛度和傳動效率,保證被測減速器的性能符合測試要求。基礎參數的測試設備如圖2所示。

圖2 減速器基礎數據測試臺架
◇待減速器溫度穩定時,將負載增加至2.5倍減速器的額定轉矩,轉速增加至額定轉矩,實時監測被測減速器的運行狀況。
◇當減速器的運轉時間達到計算出的當量壽命,或減速器溫度超過60℃時,將減速器停機檢查。
◇試驗結束后,再次按GB/T35089—2018測試RV減速器的基礎參數——傳動誤差、扭轉剛度和傳動效率。
結果與討論
精密減速器壽命臺架試驗結果:
Sinopec RO150、指定用油A、指定用油B在3臺RV-110E-161型號減速器上開展測試的結果如圖3~ 圖5所示。

圖3 SinoPec RO150臺架試驗結果

圖4 指定用油A臺架試驗結果

圖5 指定用油B臺架試驗結果
根據壽命臺架試驗前后減速器的傳動誤差、傳動效率和扭轉剛度的數值計算出的3臺減速器試驗前后的參數變化見表2及圖6。從表2、圖6可以看出,完成壽命試驗后,裝填3種不同潤滑油的減速器的基礎參數都發生了變化。3種油品的基礎參數變化趨勢相同——傳動誤差增大,傳動效率提高,扭轉剛度下降,但變化程度有差異:
◇ 傳動誤差的增大:Sinopec RO150<指定用油B<指定用油A;
◇ 傳動效率的提高:Sinopec RO150>指定用油A> 指定用油B;
◇ 扭轉剛度的下降:Sinopec RO150<指定用油B<指定用油A。在固定設備、操作條件的前提下,潤滑油的不同可以認為是引起傳動誤差、傳動效率和扭轉剛度變化的唯一因素。RV減速器傳動誤差、扭轉剛度的變化與軸承剛度、齒輪嚙合剛度、構件彈性、材料疲勞、潤滑條件等多種因素有關,傳動誤差的增加和扭轉剛度的下降表明,減速器在經歷過相當于全壽命周期的運行后,軸承、齒面結構件、材料等都發生了一定程度的磨損和破壞,裝填Sinopec RO150的設備傳動誤差增大最小、扭轉剛度下降最少,表明該設備的磨損最輕微,相應所裝填的潤滑油對設備的保護性最好,性能優于另外兩種潤滑油。理論上,傳動效率應與扭轉剛度的變化趨勢相同,且隨著設備運行時間的增加,兩者都應該呈現下降的趨勢。但臺架試驗數據表明,裝填了3種潤滑油的減速器的傳動效率都不降反升,這是由于試驗中采用了全新減速器,在臺架試驗前測量傳動效率,設備還處在磨合階段,而試驗后再次測量傳動效率,設備已經完成了磨合,故此傳動效率上升。

表2 壽命臺架試驗前后減速器的參數變化

圖6 油品測試前后減速器的基本參數變化
試驗前后油品的理化性能:
試驗前后油品的理化性能見表3。由表3可以看出,試驗后Sinopec RO150和指定用油A、B的黏度等級都在150黏度范圍內,雜質元素和磨損金屬元素含量增加量在合理范圍內。

表3 試驗前后油品的理化性能
結論
☆ Sinopec RO150的各項理化性能與國際品牌指定用油相當,甚至在某些關鍵指標上表現更為優異,能夠滿足工業機器人精密減速器的潤滑需求,具備替代進口油品的潛力。
☆ 在壽命臺架測試中,使用Sinopec RO150的減速器在傳動誤差、傳動效率和扭轉剛度等關鍵參數的變化上,相較于指定用油A和B,顯示出更小的性能退化,表明Sinopec RO150具有更好的設備保護性能,能夠為工業機器人的長期穩定運行提供更為可靠的保障。
參考文獻:略
